Help to define 2x cAP AC to achieve WiFi bridge + WiFi distribution

Hey all,

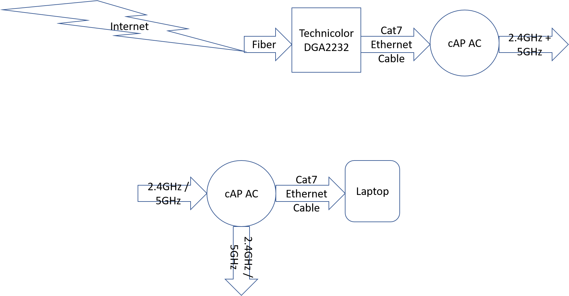
I have 2 Mikrotik cAP AC units, i would like to achieve a (general) topology like such:
Topology Block Diagram.png
My internet connection is P2P Fiber Optics with Technicolor DGA2232 Modem/Router.
to that Modem/Router i have some devices connected with Ethernet cable, one of them is cAP AC unit.

on a different room, without ethernet cable access i have another cAP AC unit, to eth2 port i have a cable connected to a laptop.

Desired roles:
Living room unit - receive internet connection through eth1 port, distribute it through wlan1 and wlan2.
Room unit - receive internet connection through wlan1 and / or wlan2, distribute it through wlan1 and / or wlan2 as well as eth2 ports.

i am using Mikrotik Android App, and Winbox 64 Bit on Windows 10.

Ughhh, I hate wifi to wifi…
Suggest you use 2.4ghz radio from AP to AP to connect the two units and use 5ghz for devices and useable WLANs.
There is a way to do this and a certain mode setup for each capac to be able to do this but bpwl would be your guy to explain that or anybody else who has done the same thing.

Hey

thanks for the reply.
Sounds like what i need.

Unlike @anav I prefer to use 5GHz as PtP band. It has higher capacity but shorter reach, so you may want to check if signal is good in the other room.

Assuming you’ll use 5GHz for inter-cap connection, the steps to be taken on cap2 would be:

  • Install winbox on your PC.
  • connect via ethernet port
  • reset with no settings
  • create bridge and add all interfaces as member ports (ether1, ether2, wlan1 and wlan2)
  • configure wlan2 as station-bridge, enter SSID used on 5GHz on main cAP and correct password
  • configure IP address on bridge interface. Either set static IP (my suggestion) or run DHCP client on bridge
  • configure wlan1 as AP with same SSID and password as used on 2.4GHz on main AP. If you’re using same SSID and password on both bands, then you can re-use wireless security profile created previously

All of above doesn’t need any change of config on cAP1 if it’s already configured so that wireless clients are able to use desired services.

It is possible to use same radio in cAP2, connecting to main AP, to also provide wifi to clients. In that case I would add virtual AP on cAP1 which would be used explicitly for PtP use (different SSID and password). wlan2 on cAP2 would still be station-bridge with connection to this separate SSID. A virtual wlan interface is then needed on cAP2 (slave to wlan2 master) with type AP-bridge and usual SSID and password.
I would not do it though: both APs (real on cAP1 and virtual on cAP2) would share frequency band and compete for air-time.

The reason for the split radio purpose is obvious, one uses a radio for the tx and receive between APs and ONLY for this service.
The other radio on either AP are available to talk to devices only. If you attempt to do both on a single radio you are significantly cutting throughput on that radio as its competing with itself to pass your packets along.

Thank you both

i will test it, the 5GHz sometimes goes through to the room, and sometimes doesn’t (RF issues with walls), but the 2.4GHz works more reliably, so i think i will try 5GHz and if that doesn’t work well i will try the 2.4GHz.

how do i select the static IP for wlan2 on cAP2?

As I wrote: you should add all interfaces to bridge and then set static IP address to bridge: IP → address → add → select bridge interface and enter IP address

I used this blogpost to configure my travel router. I think it will answer all of your questions on the “wireless bridge” site:
https://www.justinho.com/blog/2017/07/15/hap-ac-lite.html

Sorry for the misunderstanding, i meant what ip should i choose, one from the cAP1 DHCP pool, or one from below the pool (the "reserved" ones?)

Thanks

The blogpost is good for travelling router but not so much for your home use where you probably want that wireless devices switch between APs smoothly without too much of a service interruption. If you follow my advice, AP2 won't have any DHCP pool or whatever, it'll transparently bridge its clients (both wireless and wired) to the main AP. All the network functions needed (e.g. DHCP server, DNS server, whatnot) will be provided by Technicolor (or AP1 if you configure it thusly). Hence you'll configure IP address from Technicolor's subnet (outside its DHCP pool).

If you intend to keep using Technicolor as your router, then you should configure cAP1 very similarly to what I described for cAP2, only difference is the configuration of wireless, where both radios (wlan1 and wlan2) should be configured as AP-bridge (unless you go with my option of having separate SSID for PtP connection ... complication which might not add anything useful to your setup).

BTW, you don't need Cat7 cables for 1Gbps connections. Cat5e cables will do equally good with smaller price tag (and better flexibility).

Thanks @mkx

i do not plan to have the Technicolor as Router, and my system should be ready to replace it with Optic Fiber adaptor (my Internet Provider gave me one), and 1GBit switch with 8 ports. (which all the current wired clients will connect to).
The WiFi system will be based on the 2 cAPs

Most of the Cat7 cables are actually from the Internet Provider (one with the Technicolor, one with the previous Modem/Router, one from the Optic Fiber Adaptor), but the price difference here (Israel) is quite negligible, thanks anyway

So … are you planning to have a router/firewall in your LAN setup? Or do you plan to leave that to ISP? Name of “Optic Fiber adaptor” doesn’t sound like it would perform that task …

Hey

if i will replace the Modem/Router with the Optic Fiber Adaptor, i will have to configure firewall in the main cAP AC unit

thats the adaptor:

Interesting product and not readily available in these parts…

That’s pretty simple media converter … or rather dual port ethernet switch. Yes, you will definitely need a router with firewall. If you configure cAP ac1 as “Home AP dual”, it should mostly be fine … cAP ac devices have pretty powerful CPUs, so it should be able to route at decent speeds approaching 1Gbps.

cAP ac has two ethernet ports. You shoukd connect ether1 to the media converter box and ether2 to the gigabit switch for wired clients. This way cAP ac1 will act as router/firewall for wired clients as well, plus wireless clients will be in same LAN subnet as wired which will allow them to transparently communicate with wired machines.