Ospf outgoing traffic

Hello Experts,

I have 4 links where I connect to internet, for incoming traffic i have TE, where i can balance my incoming traffic depending on subnet, but outgoing is still using only one link, how can i distribute my outgoing traffic ? I am using ospf and mpls.

many thanks for reading.

Offhand, I’d say that you need to ensure the 4 gateways have equal costs so that EQMP will kick in…

I think you need to provide some more details of your topology

  • are the links to the same ISP or multiple?
  • are you speaking OSPF / MPLS with your ISP or just internally in your own network?
  • are the 4 links terminated on one or several routers?
  • how is the default prefix being originated into your network?

Hello ZeroByte,

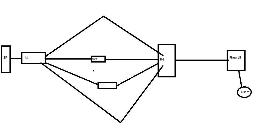
Many thanks for answering my post, because of the topology we do not have fibre connection, hence use multiple wireless links to connect to our single ISP, you can see on the quick map i have attached, with ISP we do BGP, and within our routers we have OSPF and MPLS, running, between R1, R2, R3, R4. where we do TE so each subnet can be routed to different link, like 10.10.0.0/24 routed via link 1 TE 1, 10.10.1.0/24 routed via link 2, TE 2 and so and so. but outgoing its only using single link, which has less cost, how can i set so that multiple links are used.

thnaks,
map.png

Honestly, I’m not that familiar with the operation of TE tunnels… in general, I’d say that R4 needs to see 4 paths to R1 and that all 4 of them should have the same path cost.

Maybe someone with better knowledge of TE tunnels can chime in to fill in the blanks here.

I would really recommend real time monitoring on the security server. Capture the traffic on the outgoing NIC for about 5 minutes and you should get an idea of what’s going on.